LR patents Nr. 14455 “Precīzo ģeneratoru perioda džitera novērtējuma metode”. Izgudrotāji: V.Bespaļko, J.Buls. Īpašnieks: Elektronikas un datorzinātņu institūts. Publicēts 20.03.2012.
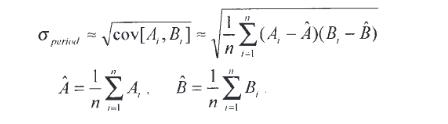
Precīzo ģeneratoru perioda džitera novērtēšanas metode, kas satur šādas operācijas: precīzā ģeneratora uzdoto secīgo periodu skaita n mērīšanu un mērījumu rezultātu uzkrāšanu datu masīvā, kas atšķirīga ar to, ka katrs i-tais precīzā ģeneratora periods tiek mērīts divos mērīšanas kanālos A un B, pie kam katrā no tiem notiek mērījumu rezultātu uzkrāšana masīvos [Ai] un [Bi], bet precīzāģeneratora perioda džitera novērtējums σperiod tiek noteikts atkarībā no minēto mērījumu rezultātu masīvu kovariācijas novērtējuma, izmantojot sakarības.

Metode saskaņā ar 1. punktu, kas atšķiras ar to, ka mērījuma kļūdu aiun bisavstarpēja korelācija mērīšanas kanālos A un B jebkuram i-tajam precīzo ģeneratoru periodam tiek izslēgta, resp., cov[ai,bi] ≈ 0.3.
Metode pēc 1.punkta, kas atšķiras ar to, ka operācijas tiek veiktas ar precīzo ģeneratoru ģenerētiem laika intervāliem, bet precīzā ģeneratora laika intervāla džitera novērtējums σTi tiek noteikts, izmantojot laika intervālu mērīšanas rezultātu masīvu kovariācijas novērtējumu.

http://www.lrpv.gov.lv/sites/default/files/media/vestnesis/20120320.pdf